Newton-Raphson Method
- 비선형 방정식의 근사해를 구할 때 사용
- 수치해석 알고리즘
- 아래 수식 (어떻게 작성하는지 몰라서... 공부할 때 필기한 것을 캡쳐했다)을 iteration 하여 근사치를 구하는 것으로 이해하였다.

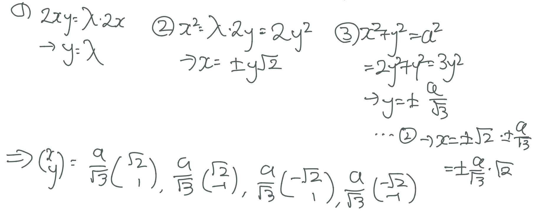
Lagrange Multipliers
- 라그랑즈 네곱수 정리를 기반으로.
* 모든 자연수 n에 대하여, n = a**2+b**2+c**2+d**2 만족하는 음이 아닌 정수 a,b,c,d가 존재한다.

* Lambda가 Lagrange Multiplier.


'공부한 것' 카테고리의 다른 글
| Multivariate Calculus - 3 (0) | 2021.10.03 |
|---|---|
| Multivariate Calculus - 1 (0) | 2021.09.27 |
| 선형대수 - 4 (0) | 2021.09.27 |
| 선형대수 - 3 (0) | 2021.09.22 |
| 선형대수 - 2 (0) | 2021.09.20 |