Maclaurin Series
- 함수 f(x)의 x=0 지점에 대한 모든 정보를 알고 있을 때, 이를 통해 함수 전반의 모양을 예측할 수 있다.

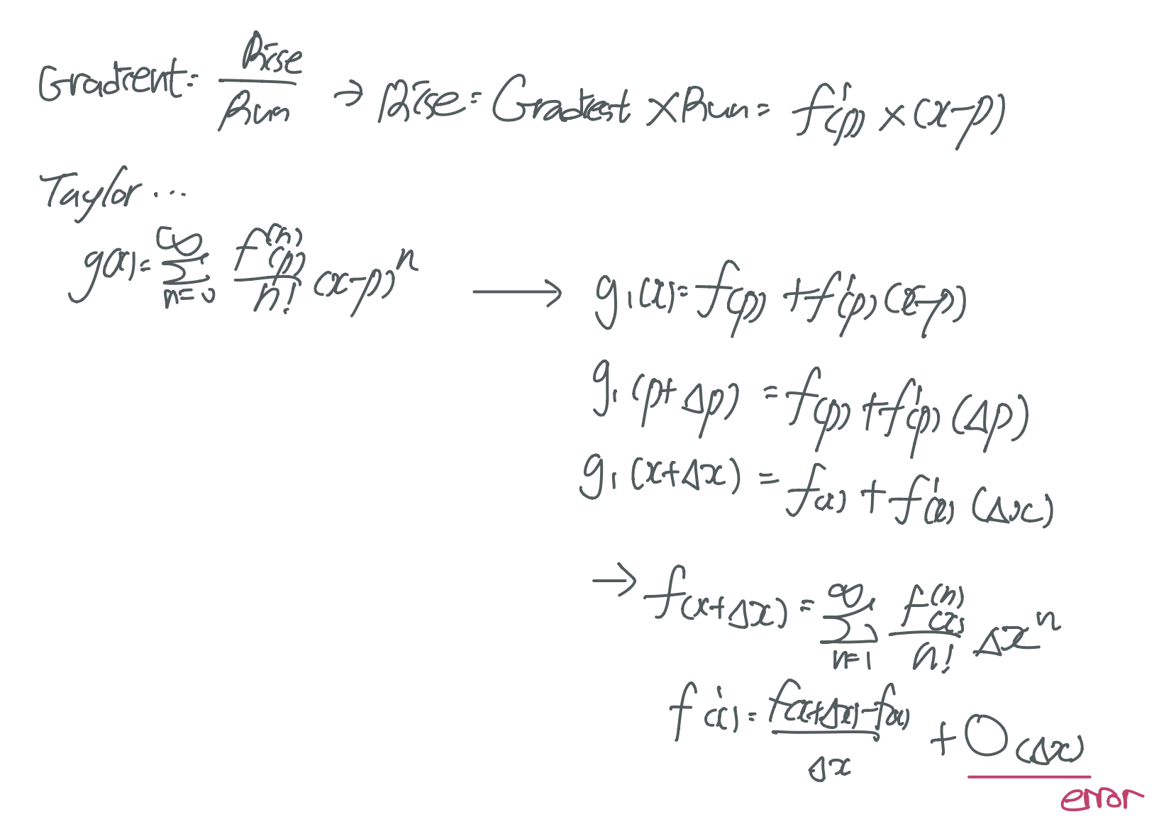
Taylor Series
- Maclaurin Series의 확장? 일반화? 느낌인 것 같다.
- Maclaurin Series가 x=0을 기준으로 하였다면, Taylor Series는 특정되지 않은 (any) 지점 x=a의 모든 정보를 안다면 이를 통해 함수 전반의 모양, 혹은 값을 예측할 수 있다는 것.

Multivariate Taylor Series
- 변수가 2개일 때도 Taylor Series를 활용하여 함수 전반의 예측치를 도출할 수 있다.

수학을 넘나 오랜만에 공부하는 느낌이라, 고등학교 수학 생각이 나면서도 그를 넘어선 느낌일 날 때면 어렵게 느껴질 때도 있다. 학교에서 배우거나 문제집이 있으면 직접 풀어보면서 이해할 수 있을텐데.. 아쉽다. 대학 교재는 뒤에 풀이도 안 적혀있고..! 뭔가 개념을 이해했는지 스스로 테스트 해보기에는 Coursera의 해당 강의에서 제공하는 문제 개수로는 좀 부족한 느낌? 더 풀어보고 더 공부해보고 싶다...! 고등학생때까지만 해도 이과였으면서도 수학을 안 좋아했었는데, 지금 와서 공부해보니 왜 수학이 이렇게 재미있을까! 그때도 재미있어했더라면 좋았을 텐데. 하긴 그때는 국어가 너무나 재미있었지,,, 지금이라도 열심히 공부해야지 계속..!
'공부한 것' 카테고리의 다른 글
| Multivariate Calculus - 2 (0) | 2021.10.03 |
|---|---|
| Multivariate Calculus - 1 (0) | 2021.09.27 |
| 선형대수 - 4 (0) | 2021.09.27 |
| 선형대수 - 3 (0) | 2021.09.22 |
| 선형대수 - 2 (0) | 2021.09.20 |